第一节、电工常用机具
一、电工常用机具
1、钳形类
钳形类具有断线钳、胶把钳、尖嘴钳、紧线针和剥线钳等(如图6-1所示)。断线线钳用于剪断冷轧钢丝。紧线钳用于高、低压架空线路和拉线安装时拉紧线路。剥线针用于安装接线时剥去接头处的绝缘皮。

2、登高类
登高类机具有脚钩、人字梯、登高板机、高安全皮带等
3、电器类
电器类机具有电钻、电烙铁、10kV绝缘夹钳机和拉(合)闸绝缘杆等,绝缘夹钳主要用在35kV及以下的电力系统中安装或拆卸高压保护或执行其它类似工作。绝缘杆又叫操作杆、拉闸杆,主要用来操作35kV以下的高压隔离开关,跌开式保险器,安装和拆除临时接地线以及测量试验等项工作。
二、喷灯和试电笔的使用
1、喷灯
是在野外用来焊接电缆线、电话线等接头或用来熔化电缆线接头包扎外皮的焊锡工具。如图使用喷灯时,应特别注意防火,喷灯应远离易燃易爆物;使用应检查有无漏油漏气现象;喷灯点火时而前禁止有人;喷灯不得放在暖气等高温物体附近;喷灯裝油不得超过箱体三分之二;压力调整要合适,加油及修理应在灭火之后进行;喷灯火焰距带电体的安全距离,10kV以下,不得小于1.5m,10kV以上不得小于3m;喷灯使用时间不宜过久,不用时应灭火减压,待完全冷却后方可放入工具箱内。
2、试电笔的使用
试电笔又称测电笔,其结构见图所示,是用来检验电器设备或线路是否带电的。验电时,手应接触笔尾的金属体,让笔尖接触电线的金属部分或与之相连的插座、导体等,当试电笔中的氖管发光时,笔尖接触的设备或导线就带电,如图(b)。若按图(e)的方式握持试电笔去检试设备或导线是否带电,是错误的,这时氖管不会发光。若握持试电笔的方法不当,对被检测的设备或导线是否带电,就会得出错误的结论。

第二节、电工仪表概述
1、电气仪表型式
①按读数方法分:直读式仪表和比较式仪表
②按工作原理分:电磁式、电动式、磁电式、感应式、整流式、热电式、电子式、静电式等
③按被测量名称分:电压表、电流表、功率表、欧姆表、电表、频率表及万用表等。
④按使用方式分:开关板式和可携式。
⑤根据被量的性质分:直流区、交流仪表及交直流两用仪表等。
2、电气测量误差
①系统误差:又称规则误差,即在重复测量同一个量时,维持不变或按规律而变的误差。
②随机误差:在测量中,如果已经消除引起规则误差的因素,而由于接触不好,电阻元件偶然过热及各种短暂干扰等引起的误差,称为随机误差。
③疏失误差:也称过失误差,是指有明显错误的数值。一般是是由于试验人员不注意,使用了有毛病的测量设备,或读取数值时的错误而引起的。这类误差是完全可以避免的。
3、量程
仪表所能测量的最大值称为量程(或测量上限)。
4、精度
精度(准确度)是由误差来反映的。我们们先介绍绝对误差、相对误差和引用误差。
①绝对误差△是仪表测量出的数值Ax与实际值Ao的差值

②相对误差y是绝对误差△与实际值Ao的比值


由于Ao的值很难确定,可以用Ax代替Ao近似计算Yo
③引用误差Ym是绝对误差△与测量上限值A。之比,引用误差又叫精度,

Y的值越大(小),精度越低(高),误差越大(小)。
④直读式仪表的精度分为七级:0.1、0.2、0.5、1.0、1.5、2.5、5.0,各级对应的引用误差为±0.1%、±0.2%…不土5.0%。通常0.1、0.2级仪表用作标准表,0.5至1.5级仪表用于实验室,工程用表的精度等级为1.5至5.0级。
5、灵敏度
灵敏度(S)是指仪表在保证精度的前提下所能测量的最小值。S的值大(小)时我们说灵敏度低(高)。
6、可靠性
可靠性是仪表生产质量的反映,可靠性好是指仪表的故障少,有了故障也容易修理。
7、绝缘电阻、耐压能力、过载能力
绝缘电阻是指仪表及其附件中的所有线路与其外壳间的电阻。耐压能力是指这一绝缘电阻所能承受的电压值。过载能力是指仪表短时间内内所能承受的超过量程的电压、电流值。为了保证使用安全,要求仪表具有足够的绝缘电阻、耐压能力和过载能力。
另外,仪表还有机械强度,抗干扰(如电磁干扰)能力,恶劣环境(如高温、高湿环境)适应能力和使用是否方便等指标。这些指标的含义都较明确,就不详细讲了。
第三节、电工仪表
一、电流表
测量电流的方法是把电流表串接在被测线路中,电流表的内阻越小对被测电路的影响越小。
1、直接测量式电流表
磁电系测量机构能直接测量几十毫安以下的直流电流,电磁系能直接测量高达200A的交直流电流,电动系能直接测量0.5A以下的交直流电流,由这些测量机构单独构成的电流表叫直接测量式电流表。
2、采用分流器的电流表
有些仪量的量程太小,为了扩大量程,人们采用了分流器。分流器实际上就是一个阻值很小的电阻,其用法见下图,图中In》IA为区别起见,不带测量电路仅有测量机构的表可称为表头。

IX被测电流,In分流电流,A电流表,Rn分流器,IA表头电流
▲带分流器的电流表
下面推导IX和IA的关系式及Rn的计算公式。
设电流表头内的内阻为RA,则

从上式可以看出,把电流表的指示值IA乘以系数(RA+Rn)/Rn即得被测电流IX。如按式6-4制作电流表的刻度,则可以直接读出IX。
设让分流器把电流表的量程扩大n倍,则
代入上式得Rn的计算公式。
电流表的总内阻等于RA和Rn的并联值,Rn越小对被测电路工作状态的影响越小。但从上式可以看出它的值受到RA的限制。
实际上是受表头灵敏度的限制实用的分流器不是标明电阻值而是标明额定电流、额定电压值(统一规定为75mV或45mV),这是为了使用方便。例如,一个分流器的额定电流为100A、额定电压为75mV,意思是说这个分流器要配用电压量程为75mV的电流表头(电流表头的电压量程等于其电流量程乘以内阻R),此时电流表表的量程为100A。
3、采用电流互感器的电流表
上面谈到的分流器虽能扩大量程,但有两个缺点点。一是本身消耗功率大,二是不能把测量仪表和被测线路隔离开来,不安全。为了克服这些缺点,人们在交流电流测量中采用电流互感器来扩大量程,如图所示体积电阻,但互感器不能用于直流电路,故不能取代分流器。


A电流表头,L1L2初级线圈,K1K2次级线圈,RL负载电阻
▲带电流互感器的电流表
互感器实际上就是一个带铁芯的变压器,它利用变压器的变压、变流特性,一般是把高电压变成低电压,把大电流变为小电流来测量,从而扩大了使表的量程。工程测量常用0.5、1.0和3.0级精度的互感器。
4、多量程电流表
假如用一个量程为1A的电流表去测量几十个毫安的电流,由于指针摆动幅度小,测量误差很大。为提高测量精度,应使指针摆动的幅度超过满幅度的1/2。为此人们设计出了多量程电流表。
5、钳形电流表
钳形电流表主要用于测量正在运行的电气线路中电流大小的仪器。常用的钳形电流表有T301,T302和MG系列。
①使用方法:
将正在运行的待测导线夹入针形铁芯窗口内,然后读取表头指针电该表读数,如图所示。

在测量电流时,注意电路上的电压要低于电表额定值,测好立即拨回零档。在测量小电流时,电流读数在电流表最小量程的1/2以下,难难以正确读出,可将被测导线在针口中绕几匝,读取电流值,然后将读取电流值除以匝数即得到被测导线的实际电流量。
②使用钳形电流表时应注意些什么?
因针形电流表是直接用来测量正在运行中的电气设备,因此手持针形表在带电线路上测量时,要十分小心,不要去测量无绝缘的导线。当导线夹入口时,如发现有振动或撞碰声时,要将仪表手把转动几下,或重新开合一次,直到没有噪声时才能读取电流值。每逢初测时,可先用最大电流档估测,然后再换到合适的量程进行正式测量读数。在每次换量程时,必须打开针口,再转换量程开关。钳形电流表的钳口必须保持清洁、干燥。
二、电压表
电压表
测量电压的方法是把电压表的两端和两个被测点并联起来。和电流表相反,电压表的内阻越大对被测电路的影响越小。
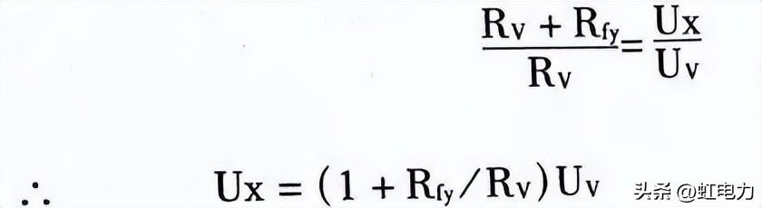
电流表也可以直接用来测测量电压,只要把表的电压刻度按表头电流和表头内阻的乘积来刻制即可。显然这样做量程很小(等于表头的额定电压U)工程上用处不大。为扩大量程,人们采用了分压电阻R,如图6-7所示。先不看电压互感器HY,设被测电压UX直接加在表头上(V和Rfy一起构成电电压表),UX大部分降在Rfy上。

下面我们讨论UX和表头电压UV之间的关系和Rfy的计算公式,根据分压公式(设表头内阻为RV)可得,

从上式可以看出,把表头指示电压UV乘以系数(1+Rfy+RV)即可得到被测电压的值。按上式刻制表头的刻度,即可直接读出的值。
若想把电压表头的额定电压扩展m倍,则

这就是分压电阻Rfy的计算公式。
电压表的总内阻R=Rfy+RW,主要取决于Rfy。Rfy越大,电压表从被测电路取用的电流越小,对被测电路的工作状态影响越小。但Rfy的值受到了RV的限制,从根本上来说是受表头灵敏度的限制。
为了把电压表和被测电路隔离开来,以保障测量安全,人们在交流电压测量中采用了电压互感器。
电压互感器相当于一个降压变压器。其初级线圈的额定电压有不同的等级,而次级输出电压都按规定设计为为100V。这样,不同规格的互感器可以采用同一量程的测量表头(当然表头的刻度要和初级电压对应起来),给生产、使用都带来了方便。
同设计量程电流表的道理一样,人们也设计了多量程电压表,其原理如图多量程电压表原理图所示。图中表头内阻为210Ω,电流量程为200mA。
三、欧姆表
欧姆表的基本原理
欧姆表的基本原理 欧姆表是用来测量电阻值的。电阻值不能直接被测量,需要交换成电流信号来测量,请看下图。

Rx通过测量电路变换成电流信号In,Rx变化In也变化,Ih是Rx的函数即IΩ可以代表Rx的大小。(这里的测量电路由E、R、Rn构成,它和表头溶为一体了。)测出IΩ的值,把In的值代入Rx和IΩ的关系式便可得出Rx的值。Rx和In的关系式为,

欧姆表的表头是用来测量In的,它实质上是一个电流表头,只不过它的刻度是按上式刻制的欧姆值罢了,从表头上可以直接读出Rx的值。
欧姆表的特点是,必须有电源E才能进行测量,刻度是反向的(即Rx越大,IΩ越小,指针摆动的幅度越小),刻度不均匀(Rx和In不是正比关系)。再一个特点是需要零欧姆调整器。
由于E不可能保持恒定(如干电池的电压随时间而变化),所以当Rx=0时指针也就不能恒定指零,从而带来测量误差。为了解决这个问题,欧姆表都设有零欧姆调整器,见上图。从图中可以看出,通过调整电位器W可以微调I1的大小,从而达到调零的目的。
多量程欧姆表见下图。从图中可以看出,量程的扩大是采用提高电路灵敏度(减小对In的分流)实现的。如果量程还要扩大(如扩大到R×10k、R×100k),一般采用提高电源电压的方法来实现。

四、兆欧表
1、兆欧表的结构
兆欧表是用来测量大电阻(主要是绝缘电阻)的欧姆表。其刻度的单位是兆欧(M)常用兆欧表的精度等级为1.0或1.5。
兆欧表主要由手摆发电机和磁电系比率表组成。磁电系比率表是一种特殊形式的磁电系机构。它有两个动圈,两动圈相交,连同指针一起固定在同轴上,没有产生反作用力矩的游丝。由于没有产生反作用力矩的游丝,所所以表的指针在表不工作时,可能停留在任意位置上。
2、使用方法
(1)、兆欧表的选用
选用兆欧表的额定电压一定要与被测电器设备或线路的工作电压相对应,见表6-1。
如果测量高压设备的绝缘电阻用500V以下的兆欧表,则测量结果不能正确反映在工作电压作用下的绝缘电阻。同样也不能用电压太高的兆欧表测量低压设备的绝缘电阻,以防测量时损坏缘。兆欧表外形如图6-12所示。

▲兆欧表
(2)、兆欧表接线柱的使用
兆欧表上有三个接线柱,即“线”(L)、“地”(E)、“屏”(G)。在进行一般测量时,只要把被测绝缘电阻接在L与E之间即可。对表面不干净或潮湿的对象进行测量时,为了准确测出绝缘材料的内部绝缘电阻(即体积电阻),就必须使用G接线柱。
(3)测量绝缘电阻的注意事项
1.使用摇表测量必须断电进行,对储能元件应预先放电。
2.摇动手柄不能用力过猛,应顺时针方向摇动,逐渐加快至保持120转/min左右的均匀速度。
3.测量前应对摇表进行一次开路短路试验,以认定表的完好性,表针指零时间应尽量短。
4.测试线不宜采用双股绞合线。
5.测测量时,应先摇动,后测试,测试完毕,应先断开测试线,再停止摇动。
6.测量过程中,双手不要同时接触两极表线。
测量电缆线绝缘电阻的接线方法如图所示。

▲测量电缆绝缘电阻的接线
兆欧表的选择
被测对象
被测设备额定电压(V)
兆欧表的额定电压(V)
线圈绝缘电阻
500以下
5000
500以上
1000
电力变压线圈绝缘电阻电机线圈绝缘电阻
500以上
1000~2500
发电机线圈绝缘电阻
500以上
1000
电器设备绝缘电阻
500以下
500~2500
500以上
2500
瓷瓶
2500~5000
五、接地电阻测量仪
接地电阻测量仪的使用
电器设备运行时,为防止设备绝缘由于某种原因发生击穿或漏电使外壳带电而发生人身事故,设备外壳必须接地。为防止大气雷电袭击,在高大建筑物或高压输电线上的避雷针、避雷线也要可靠接地。装好接地线之后,必须测量接地电阻。接地电阻的测量通常采用接地电阻测量仪进行测量,下图是ZC-8型接地电阻测量仪测接地电阻的接线方法。P2、C2短接后为E柱,连接被测接地极,P1为电位辅助探针,C1为电流辅助探针。量程开关分为0-10、0~1002、0~1002三档)被测接地电阻接于E和P之间。测量时按以下步骤操作。

1、连接接地极和探针
先把电位辅助探针P和电流辅助探针CI分别插在距接地极大约20m处,电位探针可离近一些,两探针本身保持一一定距离,然后用导线把它们接在Pr、C1接线柱上,把接地极与E相接。
2、检流计调零
用螺丝刀调节图中旋钮体积电阻,使检流计指针对准调零黑线,检流计即调准为零。
3、选择量程并调标度盘
检流针调零之后,先将量程开关置于x10倍率位置,电阻量程范围即为0-100Ω,线缓据动发电机下;四节标度盘旋,改变可动触点的位置,使检流计电流趋于零,若标度盘读数小于1,应将量程开关置于较小一挡重新测量。测量时可逐渐加快发电机于转速,使之达到120转/min,并调节标度盘旋铝使电流计指针完全指零。
地电阻值=倍率比×标度盘读数
4、其他
若利用ZX-8型接地电阻测量仪测量一般电阻,可将P、C短接作为E,将被测电阻接在E与R(即C)之间,测量步骤同前。
六、万用表
万用表是电气工程中常用的多功能、多量程的电工仪表,一般万用表可以用来测量直流电压、电流,交流电压和电阻。由表头、测量线路和量程开关三大部分组成。按需要测量的内容将转换开关转到需测的档位上。使用万用表时应注意以下几点:
①万用表使用时一定要放平、放稳。
②使用前调整零点,如果指针不在零,应转动调零旋转使指针指在“0”位。
③使用前选好量程,拨对转换开关的位置,每次测量都一定要根据测量的类别(直流、交流、电压、电流、电阻),将转换开关拨到正确位置上,决不允许拿起测棒盲目去测试。
④测量电压或电流,如对被测的数量事先无数时,应选用最大量程,档试
测;如发现指针偏转太小,再转换到合适量程进行测量。
⑤测量电阻时,先将转换开关转到电阻档位上(92)把两表棒短接,再旋转调零器使指针指零欧。
⑥测量直流电压、电流时,要注意测棒红色为“+”,黑色为“-“”。一方面插人表孔要严格按红、黑插入表孔的“十+”、“一”;另一方面接入被测电路的正、负要正确。如果一时不清楚可以试测。办法是:选用大的量程,将两表棒快速接在被测电路上,快接快离,如发现指针顺转,说明接对了,反之,将两表笔棒极性调换。
⑦在测量500~2500伏电压时,特别注意量程开关要转换到2500伏,先将接地棒接上负极,后将另一测棒接在高压测点,要严格检查测棒,手指和下是否干燥,采取绝缘措施,以保安全。
⑧测量读数时,看准所选量程的标度线,特别是测量10伏以下小量程电压时,读取刻度读数要仔细。
⑨不要带电拨动转换开关。
⑩尽量训练一只手操作测量,一只手不要触摸被测物。
⑪每次测量完毕,应将转换开关转到交流电压最大量程位置。

▲简单万用表的电原理图
第四节、电工仪表的使用安全
一、电流表
1、电流表的安全使用
要防止误用电流表去测量电压,否则会造成流过表头的电流过大(电流表的内阻一般都很小),而烧坏表头。
电流互感器的铁芯和次级要接地,以防止绝缘材料损坏,初级高压窜入次级造成事故。
电流互感器的次级绝对不许开路。当次级突然开路,次级磁通为零时,铁芯中的磁通大大增加(可增加几十倍)。从而一方面使铁芯损耗大大增加,温度急剧升高,另一方面次级线圈被感应出高压(可达正常数值的几百倍),结果会损坏电流互感器和危及人身安全。不准在次级回路装开关和熔断器,以免开关、熔断器坏时造成次开路。拆除次级的仪表时,必须先将次级短路(有的电流五然器带短路开关)。
钳形电流表在使用过程中不许变换量程,否则会造成错形表中电流互感器次级的间开路。
对于多量程表要正确选择量程,测量直流电时要先清楚极性,防止因量程过小成极性搞错环仪表。电压表、欧表等也要注意这个间题。不清楚极性时,可把表笔快接快离被测电路,同时观察指针的摆动方向,以判别其正负极性。
2、电压表的安全使用
用测量高压时要戴绝缘手套,只准单手执笔,并且人体和外界的绝绿要好,同时还要有监护人员。电压互感感器的次级线圈的铁芯和外壳要可靠接地,防止绝缘损坏时,高压窜入次级造成事故。
电压互感器的次级不许短路,否则会烧坏互感器。为防止短路事故,初级和次级都要接熔断器。
3、欧姆表的安全使用

防止误用欧姆表去测电压。这日时如果表的内阻较小,电阻的端电压又较大,就有可能烧坏仪表。
测量设备的绝缘电阻时,必须切断设备电源,并要把设备接地放电(有些设备有较大的电容,如电容器、变压器、电机及电缆线路等),以保证人身和测试设备的安全和测得正确的结果。被测物的感应电压超过12V时,禁止测量。架空线路和其相联接的电气设备在雷雨发生时禁止测量。
为防止人体触电,兆欧表正在运行(发电机正在转动)时不许人体触及被测物。测试完毕后应先把被测物对地放电,然后人体才准许接触被测物。对于有较大电容的被测物应先对地放电,然后停止摇动发电机,这是为了防止电容放电损坏兆欧表。
4、万用表的安全使用
前面讲的电流表、电压表和欧妈表使用安全的内容大部分也适用于万用表,这里里再谈几点。一是测量前要检查功能挡位和量程挡位是否选用正确,防止用电阻挡、电流挡去测量电压或者用小量程去测量大信号,这是最容易忽视的,特别是忙乱时。二是万用表不用时,转换开关要放在电压最高档,一旦他人盲目使用也不会损坏仪表。三是长期不用时把电池取出来,防止电解液流出损坏仪表。
思考与练习
1.常用电工仪表按工作原理理可分为几种?
2.常用电工仪表按准确度等级可分为几级?
3.选择兆欧表时应注意兆欧表的额定电压与被测电气设备或线路等的工作电压如何?
4.一般万用表可以测测量什么?如何正确使用万用表。
5.针形电流表测量小电流时,应如何办?
———END———
限 时 特 惠: 本站每日持续更新海量各大内部创业教程,一年会员只需98元,全站资源免费下载 点击查看详情
站 长 微 信: Lgxmw666





