

教师简介
黄博,邯郸市第十一中学教师,邯郸市优秀班主任,邯郸市教学能手,邯郸市岗位能手,热爱数学教学,不仅让学生知其然,更要让学生知其所以然,深受学生喜爱。
教学目标:
2.理解弧长和扇形面积公式及二者的关系,能够运用公式解决问题;
3.通过类比探究学习,发展迁移学习的能力.
教学重点:能够利用弧长和扇形面积公式进行计算.
教学难点:理解弧长和扇形面积公式中的
首次教学过程:
一.情境引入

通过日常生活中常见的银杏树叶、折扇和数学统计中常见的扇形统计图引入本节课所要研究的主体:扇形。
设计意图:展示扇形实物和图片,提升学生的感性认识,为后面学习扇形的概念做好铺垫。
二.认识扇形
1、定义:由组成圆心角的两条半径和圆心角所对弧围成的图形,叫做扇形。
2、关于概念的注解:
①扇形的轮廓包含了两条半径及其所夹圆心角所对的弧。
②“围”字体现出扇形是一个平面图形。

3、概念辨析:判断下列图形中有颜色的部分是不是扇形,如不是请说明原因。

请学生代表根据概念进行判断,对(3)、(4)、(6)图进行讲解,分析其不是扇形的原因,巩固强化概念。
设计意图:由感性认识过渡到理性认知,具体实例抽象出扇形概念,注释帮助学生认识扇形概念的内涵和外延,判断辨析巩固概念。讲解概念既关注关键字解读,又注意结合图形讲解,帮助学生对扇形的文字概念与图形加以对应,加深理解。辨析注意引导学生运用概念进行判断,一方面使学生认识到图形(5)虽然圆心角大于180°也是扇形,另一方面结合概念说明(3)(4)(6)不是扇形的原因,理解概念既是性质又是判定的含义,体现概念学习的通性。
三、探究扇形面积公式—初步感知
问题1:比较第一组扇形面积的大小关系.

问题2:你能说说扇形面积与什么有关系吗?
结论:半径一样的情况下,圆心角越大,扇形面积越大.
问题3:比较第二组扇形面积的大小关系.

结论:圆心角一样的情况下,半径越大,扇形的面积越大
问题4:根据上面的结论,请你总结扇形面积与什么相关?
设计意图:本环节的设置让学生通过观察扇形面积的大小,引导学生得到圆心角、扇形所在圆的半径与扇形面积相关,初步感知扇形面积相关因素,为扇形面积公式的理论推导做好铺垫。
探究扇形面积公式一理论推导
问题1:半径为R的圆,面积是_____.
问题2:根据第一问的结论,请你直接说出下图黄色扇形的面积.

问题3:上面扇形面积的
、
、
是怎么来的?
学生答:扇形所占圆的比例.
问题4:你能用圆心角来表示这些面积所占比吗?
学生答:上面的数值可以用圆心角表示为:
、
、
设计意图:以圆面积为起点,认识扇形面积是圆面积的一部分扇形面积公式3个,根据特殊扇形面积与圆面积的比例关系,再通过该比例关系与圆心角的关联,为明确扇形公式提供依据,体现数学类比探究和特殊到一般的思想方法.
问题5:通过上面的学习,半径为R的圆,圆心角为n°的扇形占整圆面积的多少呢?面积该如何表示呢?
①得到扇形的面积公式:

②关于扇形面积公式的注解:理解公式中字母的含义;分子彼此间为相乘关系;n与360均不带单位,
表示部分在整体中占比。
设计意图:通过类比探究,由特殊到一般,得到扇形面积公式,通过注解帮助学生理解公式,为后面运用公式解决问题做准备。
小练习:计算填表(限时2分钟,结果有π的保留π)

设计意图:熟悉扇形面积公式的运用场景,帮助学生正确运用扇形面积公式计算,解决计算过程中出现的问题。表格的设置让学生体验“知二推一”的过程,认识扇形面积公式的顺逆用问题。
四、类比探究弧长公式
思考:类比探究扇形面积公式的过程,半径为R的圆中,n°圆心角所对的弧长l是多少?弧长该如何表示呢?
①得到扇形的弧长公式:
②关于弧长公式的注解:理解公式中字母的含义;分子彼此间为相乘关系;n与180均不带单位度,n/180表示部分与整体的占比.
设计意图:通过类比探究,由特殊到一般得到弧长公式,通过注解帮助学生理解公式,为运用公式解决问题做准备.

小练习:计算填表(限时2分钟,结果有π的保留π)

设计意图:熟悉弧长公式的运用场景,帮助学生正确运用弧长公式计算,解决计算过程中出现的问题。表格的设置让学生体验知“二推一”的过程,灵活顺逆运用弧长公式。
五、探究关系
问题1:口算填空

问题2:观察每列第二行、第五行的结果,你有什么发现?
问题3:你能证明你的发现吗?
推导过程
问题4:观察上面关系式,想想扇形面积与之前所学过的哪个图形的面积公式类似吗?
结论:与三角形面积公式类似,我们可以将扇形看作一个曲边三角形,弧长l相当于三角形的底,扇形的半径相当于三角形的高。

设计意图:教师设置统一的数据,合并两个练习表格,学生观察找规律,在充足的探索时间里,发现弧长公式与扇形面积公式间的关系并加以证明,加强知识之间的联系。类比三角形面积公式,便于理解和运用。
六、例题讲解
例:水平放置的圆柱形排水管道的截面直径是12,AB=6.(结果保留π)
(1)如图1,求截面上有水部分的面积S;
(2)由降雨引起水面上涨至AˊBˊ,如图2,此时AˊBˊ=6,求截面上有水部分的面积Sˊ.

设计意图:简单数据方便学生计算,巩固扇形面积公式,复习圆中两腰是半径的等腰三角形的面积计算,明确不规则图形—弓形的面积求解方法(图1劣弓形,图2为优弓形);实际问题设置有关联的两问,体现圆的对称性,两个弓形的面积恰好可以拼成一个整圆,求出其中的一个弓形就可以用整圆面积减去弓形面积即可求出第二问。
七、当堂检测
1.已知扇形的圆心角为60°,半径为1,则扇形的弧长为()
2.圆心角为120°,弧长为12π的扇形的半径为()
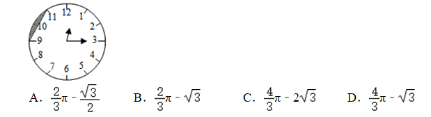
3.如图,有一个半径为2的圆形时钟,其中每个相邻刻度间的弧长均相等,过9点和11点的位置作一条线段,则钟面中阴影部分的面积为()

设计意图:针对性练习,让学生即时反馈,提交打卡,把握学生课堂知识掌握情况。
八.课后教学反思:
本节课是一节线上的公开课,这种形式对我来说也是一次特别的经历,下面谈谈我的设计想法及上完课后的感受。
1.从教学设计上看,进行了一些内容顺序调整,本着先明确研究对象的想法将扇形概念前置,了解研究主体后,再通过圆的面积与周长展开扇形周长和面积公式的探索。探索过程中根据观察扇形面积、弧长与圆所占比的直观认知得到扇形面积公式,类比扇形面积公式的研究方式学生学习弧长公式。在探究弧长与扇形面积时将两个小练习的结果进行重现,让学生对比观察得到结论。例题的设置体现出了圆、扇形、弓形之间的联系,重现了不规则图形阴影面积求解的基本方法,通过两问的关联再现了圆的轴对称性。最后的练习进行巩固和提升运用公式的能力。在设计中无论是概念、公式、弧长与扇形面积二者关系的探索都遵循了由感性认识到理性认识的过程:出示生活中的扇形—–扇形概念;扇形面积的影响因素—–扇形面积公式;观察列表中的S扇与l弧数量关系—–关系式的理论推导。收获:教学设计中可以加入阅读课本的环节,毕竟居家网课更要培养学生的自学意识和能力。
2.从教学形式看,技术手段运用的不够充分。主要以提问学生回答问题,课后发布打卡,请学生上传课堂笔记进行检查两种方式。收获:经过姜老师指点,采用在线课堂即时发布选择题收集答案、留言板发布学生答案并点评等方式了解学生的知识掌握情况更佳。应加强网络工具的学习和应用,要处处体现出网络授课的优势,加强交互性。
3.从学生层面来看,因为共享屏幕的原因,不能很好的关注学生的听课状态。收获:在学生回答问题时,点评学生的回答和引导学生解决问题的引导性语言不够直接和丰富,要关注学生的想法,针对性的给出相应的点评和方法,不能仅仅用“回答正确”“回答得很准确”“请再仔细的想一想”等语言。在学生进行扇形概念辨析时没有应用好图(4)的资源,没有继续追问为什么不是扇形?两条线段为什么不是半径?
4.从时间把控上来看,前面处理扇形面积公式及相关计算花费了较多的时间,后面的例题没有时间展开来讲,没有设计课后小结和作业布置,结构上不够完整。
教学过程再设计:
一、探究弧长公式
问题1:圆的大小由半径确定,弧的大小如何度量?
师生活动:引发学生思考,教师引导,点明学习目标:弧的长度探究。
设计意图:结合图形,复习弧的概念。由于弧的特殊性——像线段一样有长度,像角一样有角度。初中阶段我们只研究弧的长度。
问题2:弧的长度和哪些因素相关?
图1中,若三个圆的半径相等,圆心角不相等,三条弧的大小关系?
图2中,若三个圆的半径不相等,圆心角相等,三条弧的大小关系?

师生活动:教师引领学生独立思考,归纳出半径和圆心角这两个因素影响弧的长度。
设计意图:以学生熟知的圆作为研究起点,让学生通过直观的大小比较,为弧长公式的探究奠定感性基础,明确研究方向。
问题3:若下面三个圆的半径均为3cm,圆心角分别为180°,90°,45°,请你计算弧的长度。

师生活动:学生思考、尝试计算、回答问题。教师关注学生代表回答中对分数的解释。
设计意图:通过对特殊圆心角所对弧长与整圆周长占比的探索,使学生对弧长从定性认识过渡到定量描述,为公式的引出做好铺垫。
问题4:若三个圆的半径均为R cm,圆心角为n°,你能尝试计算弧的长度吗?
归纳弧长公式:半径为R的圆中,n°圆心角所对的弧长是
师生活动:学生独立思考、计算,根据问题3的学习路径,从特殊的圆心角180°,90°,45°,到n°,体现了从特殊到一般的数学探究过程,教师应重点强调
是怎么得出的,这是本节课的难点,学生需要加强理解。

设计意图:通过探究,由特殊到一般,得到弧长公式,为后面运用公式的内涵外延的理解及应用、类比归纳扇形的面积公式做铺垫。
小练习:计算填表(限时2分钟,结果有π的保留π)

师生活动:学生独立完成,分享展示,组内纠错。
设计意图:熟悉弧长公式的运用场景,帮助学生正确运用弧长公式,纠正计算过程中出现的问题。通过表格的设置让学生体验知二推一的过程,灵活顺逆运用公式。教学形式上采用群留言的方式获得学生答案,适时引导,解决问题。
二.情境引入,归纳概念

观察图片,日常生活中,我们常见到一些像扇子形状的图形,如:银杏叶、扇形统计图等。几何图形中的扇形是指什么样的图形?
定义:由组成圆心角的两条半径和圆心角所对弧围成的图形,叫做扇形.
注:
①扇形是一个封闭图形,包含两条半径及其所夹圆心角所对的弧。
②扇形是一个平面图形。

概念辨析:判断下列图形中有颜色的部分是不是扇形,如不是请说明原因。

师生活动:学生回答问题,教师适时点评。教师注意针对图(4)进行追问和引导,为什么图(4)不是一个扇形?引导学生对扇形和弧的关系加深认识。
设计意图:由感性认识过渡到理性认识,从具体实例抽象出扇形的概念,通过注释帮助学生认识扇形概念的内涵和外延,为判断辨析做好铺垫。讲解概念时既关注关键字解读,又注意结合图形讲解,帮助学生对扇形的文字概念与图形加以对应,加强理解。进行辨析时要注意引导学生运用概念进行判断,使学生认识到图形(5)虽然圆心角大于180°,也是扇形,结合概念说明(3)(4)(6)不是扇形的原因,理解概念既是性质又是判定的含义,体现概念学习的通性。
三、类比探究扇形面积公式
问题1:观察图形,你能说说扇形面积与什么有关系吗?
师生活动:学生独立思考,归纳影响扇形面积大小的元素。
设计意图:类比弧长公式的学习路径和经验,教师引导,学生尝试自主总结,为后面自主探究公式做铺垫。
问题2:类比弧长公式的发现过程,你能尝试推导扇形面积公式吗?
归纳:半径为R的圆中,n°的圆心角所对扇形面积为

师生活动:学生独立思考、尝试推导,小组交流得到结果,教师要引导学生解释公式含义的表述。
设计意图:通过前面弧长的探究路径,类比探究,得到扇形的面积公式。
小练习:计算填表(限时2分钟,结果有π的保留π)

师生活动:学生独立完成,分享展示,组内纠错。
设计意图:熟悉扇形面积公式的运用场景,进行计算和提问,帮助学生正确运用扇形面积公式,纠正计算过程中出现的问题。通过表格的设置让学生体验公式知二推一的过程,认识到公式的顺逆用问题。线上教学形式上采用群留言的方式获得学生答案,适时引导,解决问题。

问题3:上图中,弧长为4π cm,扇形的面积能确定吗?
师生活动:实物展台演示,教师准备一条4π长的细线,可以围成大圆或小圆当中的一段弧,学生观察归纳,弧的形态不同,其所在扇形面积不相同。
追问:你认为再增加一个什么条件,能够确定扇形的面积?
师生活动:教师提出问题,引导学生代表举例说明。
设计意图:引领学生探究弧长与扇形面积大小的关系,为R、l弧、S扇三者关系的探究做铺垫。
师生活动:
学生①回答;可以增加半径的条件。比如图1,弧长为4π cm,半径为6cm,根据弧长公式可以推出圆心角,然后通过扇形面积公式计算求解。

学生②回答:我认为增加圆心角的条件也可以。比如图2弧长为4π cm,圆心角为120°,根据弧长公式可以确定圆的半径,再由扇形面积公式求解即可。
教师归纳:通过前面两名同学的举例,我们不难发现,已知弧长、半径、圆心角三个元素中的两个就可以求得扇形的面积。
设计意图:让学生感受扇形面积与弧长、半径、圆心角三个元素之间的自然联系,加深对扇形面积公式的理解。
问题4:如果弧长l弧和扇形的半径R确定,你能用它们表示扇形的面积吗?
对照两个公式:
n作为中间的桥梁可以推导得出:
师生活动:学生尝试推导,教师巡视,学生代表展示不同的推导方式。教师应关注学生推导的想法以及公式变形的过程。
设计意图:对公式进行对比观察,从数的角度认识,根据共性的元素进行表达式的变形,得到关系式。

问题5:观察关系式和图形,你能想想扇形面积与之前所学过的哪个图形的面积公式类似吗?
结论:与三角形面积相类似,我们可以将扇形看作一个曲边三角形,弧长l相当于三角形的底,扇形的半径相当于三角形的高。
师生活动:学生观察,教师引导从形的角度理解公式。
设计意图:应用公式证明弧长与扇形面积的关系,加强了与前面的知识联系,认识了两个公式间的自然联系。类比三角形面积公式,便于理解和运用。
四、例题讲解
例:水平放置的圆柱形排水管道的截面直径是12扇形面积公式3个,AB=6.(结果保留π)
(1)如图1,求截面上有水部分的面积S;
(2)由降雨引起水面上涨至AˊBˊ,如图2,此时AˊBˊ=6,求截面上有水部分的面积Sˊ.

设计意图:通过数据的设置简化学生的计算,考察圆中由半径组成的等腰三角形;明确不规则图形弓形的面积求解方法(图1劣弓形,图2为优弓形);通过设置两问实际问题的关联,体现出圆的对称性,两个弓形的面积恰好可以拼成一个整圆,并且可以知道,求出其中的一个弓形就可以用整圆面积减去弓形面积即可。
五、当堂检测
1.已知扇形的圆心角为60°,半径为1,则扇形的弧长为()
2.圆心角为120°,弧长为12π的扇形的半径为()
3.如图,有一个半径为2的圆形时钟,其中每个相邻刻度间的弧长均相等,过9点和11点的位置作一条线段,则钟面中阴影部分的面积为()

设计意图:针对性练习,让学生即时反馈,提交打卡,把握学生课堂知识掌握情况。
六、课堂小结,课后作业
问题1:总结出本节课主要的知识和方法,并谈谈对扇形面积和弧长公式的认识。
问题2:在几何初步认识中,哪个立体图形的展开图是扇形?你能表述一下这个图形展开的过程吗?
设计意图:问题1根据学生练习达标情况以问答的形式对本节课进行小结。问题2回溯之前学习的立体图形展开图含有扇形的圆锥,为后面的立体图形圆锥的相关计算做好铺垫,形成了平面图形—立体图像的学习链条,为后面的学习埋下伏笔,做好铺垫。
作业:必做题:数学书115页1、2题;选做题:数学书116页10、11题;
实践作业:请用彩色卡纸做出一个立体图形圆锥,要求底面用黄色,侧面用红色。

设计意图:根据学生的情况设置分层作业,实践作业为后面学习圆锥做好材料准备,便于学生理解圆锥与扇形的关系。
以上是我进行的再教设计,经过姜老师的悉心指点,使我认识到弧长和扇形面积公式是一个从感性到理性、从定性到定量研究的探究过程。如何在课堂上让学生自然的感受数学知识的生成与发展,体验解决问题的思维必然,才是提升学生核心素养的关键,与君共勉。

供稿:黄博
———END———
限 时 特 惠: 本站每日持续更新海量各大内部创业教程,一年会员只需98元,全站资源免费下载 点击查看详情
站 长 微 信: Lgxmw666





